For a unit risk example, let's consider Coke oven emissions.

Coke oven emissions are a known human carcinogen, for sure. But for quantitative data, we will still have to use animal experiments. Let's assume these have indicated that the oral dose that causes cancer in 1% of the animals is 4.6 micrograms (ug)/kg-day. Also assume that this is the point of departure for calculation of the slope factor. Therefore the SF is

 

Two assumptions are now necessary. First that a 70 kg adult inhales 20 cubic meters of air each day. Second we assume that all of the contaminant is absorbed.

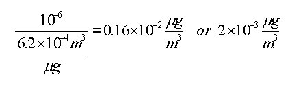
this gives us a factor for converting oral doses into inhalation concentrations. We just multiply this factor by the SF and get the unit risk.

 

Like SF, the unit risk is an effect divided by a dose, in this case a concentration. If we wanted to calculate the concentration that results in an increase in cancer incidence of 1 in a million, just divide that effect by the unit risk. After rounding we see that 2 x 10 ^-4 ug/m^3 will yield 1 excess cancer incidence per million so exposed.

 

What concentration will yield 18 excess cancer incidences per million so exposed

 

BACK

EQE 693 Home      Module 7 Index